ACIS
ACIS DOSE Registered-Photon-Map
The steps we took to compute the dose map are;
- Level 1 Event files for a specified month are obtained from archive.
- Image data including I2, I3, S2, S3 CCDs are extracted from all event files.
- All the extracted image data were merged to create a month long exposure map for the month.
- The exposure map is opened with ds9, and check a distribution of count rates against energy. From this, estimate the upper threshold value. Any events beyond this upper threshold are assumed erroneous events such as bad pixels.
- Using this upper threshold, the data is filtered, and create a cleaned exposure map for the month.
- The exposure map from each month from the Sep 1999 is added up to create a cumulative exposure map for each month.
- Using fimgstatistic, we compute count rate statistics for each CCDs.
- For observations with high data drop rates (e.g., Crab nebula, Cas A), we corrected the observations by adding events.
Please check more detail plots at Telemetered Photon Dose Trend page.
Statistics: # IMAGE NPIX MEAN RMS MIN MAX ACIS_mar19 6004901 7.614 11.184 0.0 2562 I2 node 0 262654 6.880894 3.190358 0.0 61.0 I2 node 1 262654 7.140931 6.382713 0.0 2562.0 I2 node 2 262654 7.023353 3.187454 0.0 68.0 I2 node 3 262654 6.963241 6.178928 0.0 2499.0 I3 node 0 262654 9.469368 3.862083 0.0 134.0 I3 node 1 262654 9.361152 4.854337 0.0 158.0 I3 node 2 262654 8.714744 3.543922 0.0 97.0 I3 node 3 262654 8.923106 4.159612 0.0 990.0 S2 node 0 262654 10.570018 6.389280 0.0 634.0 S2 node 1 262654 10.818915 7.151734 0.0 737.0 S2 node 2 262654 11.265154 8.253484 0.0 703.0 S2 node 3 262654 11.187204 8.474674 0.0 1037.0 S3 node 0 262654 13.250421 9.525543 0.0 237.0 S3 node 1 262654 13.841394 7.815454 0.0 409.0 S3 node 2 262654 13.584459 7.852486 0.0 240.0 S3 node 3 262654 12.033450 6.911839 0.0 165.0
Statistics: IMAGE NPIX MEAN RMS MIN MAX ACIS_total 6004901 2280.787 2948.535 0.0 128055 I2 node 0 262654 1975.207712 392.129098 421.0 11322.0 I2 node 1 262654 2078.629465 547.641556 433.0 89346.0 I2 node 2 262654 2108.657913 446.684380 434.0 11292.0 I2 node 3 262654 2113.819111 546.044520 425.0 28550.0 I3 node 0 262654 2242.759793 554.085464 414.0 8854.0 I3 node 1 262654 2323.934557 1689.770692 438.0 55231.0 I3 node 2 262654 2049.248016 380.628052 414.0 11645.0 I3 node 3 262654 2040.380263 409.126697 368.0 31964.0 S2 node 0 262654 2655.840457 416.228776 1494.0 21851.0 S2 node 1 262654 2815.387749 628.082586 1653.0 15476.0 S2 node 2 262654 3112.867609 634.454382 2086.0 27753.0 S2 node 3 262654 3064.164401 485.461953 1845.0 57638.0 S3 node 0 262654 4692.840292 2104.346001 2071.0 27270.0 S3 node 1 262654 5921.375829 2243.346986 0.0 29162.0 S3 node 2 262654 4683.406346 1238.639556 2014.0 25133.0 S3 node 3 262654 3619.769518 652.955068 2225.0 24690.0
|
|
|
|
| Dec 2018 | Sep 2018 | Jun 2018 | Mar 2018 |
|---|
The Mean Detrended CTI
We report CTIs with a refined data definition. CTIs were computed for the temperature dependency corrected data. Please see CTI page for detailed explanation. CTI's are computed for Mn K alpha, and defined as slope/intercept x10^4 of row # vs ADU. Data file: here
Imaging CCDs
Spectral CCDs
Backside CCDs
Focal Plane Temperature
Mar 2019 Focal Temperature
| The Mean (max) FPT: | |
|---|---|
| -113.34 | +/- 2.15 C |
| Mean Width: | |
| 0.84 | +/- 0.45 days |
Averaged Focal Plane Temperature
We are using 10 period moving averages to show trends of peak temperatures and peak widths. Note, the gaps in the width plot are due to missing/corrupted data.
Focal Plane Temperature, Sun Angle and Altitude
Bad Pixels
The plots below were generated with a new warm pixel finding script. Please see Acis Bad Pixel Page for details.
Front Side CCDs
Back Side CCD (CCD5)
Science Instrument Background Rates
| Name | Low (keV) | High(KeV) | Description |
|---|---|---|---|
| SSoft | 0.00 | 0.50 | Super soft photons |
| Soft | 0.50 | 1.00 | Soft photons |
| Med | 1.00 | 3.00 | Moderate energy photons |
| Hard | 3.00 | 5.00 | Hard Photons |
| Harder | 5.00 | 10.00 | Very Hard photons |
| Hardest | 10.00 | Beyond 10 keV |

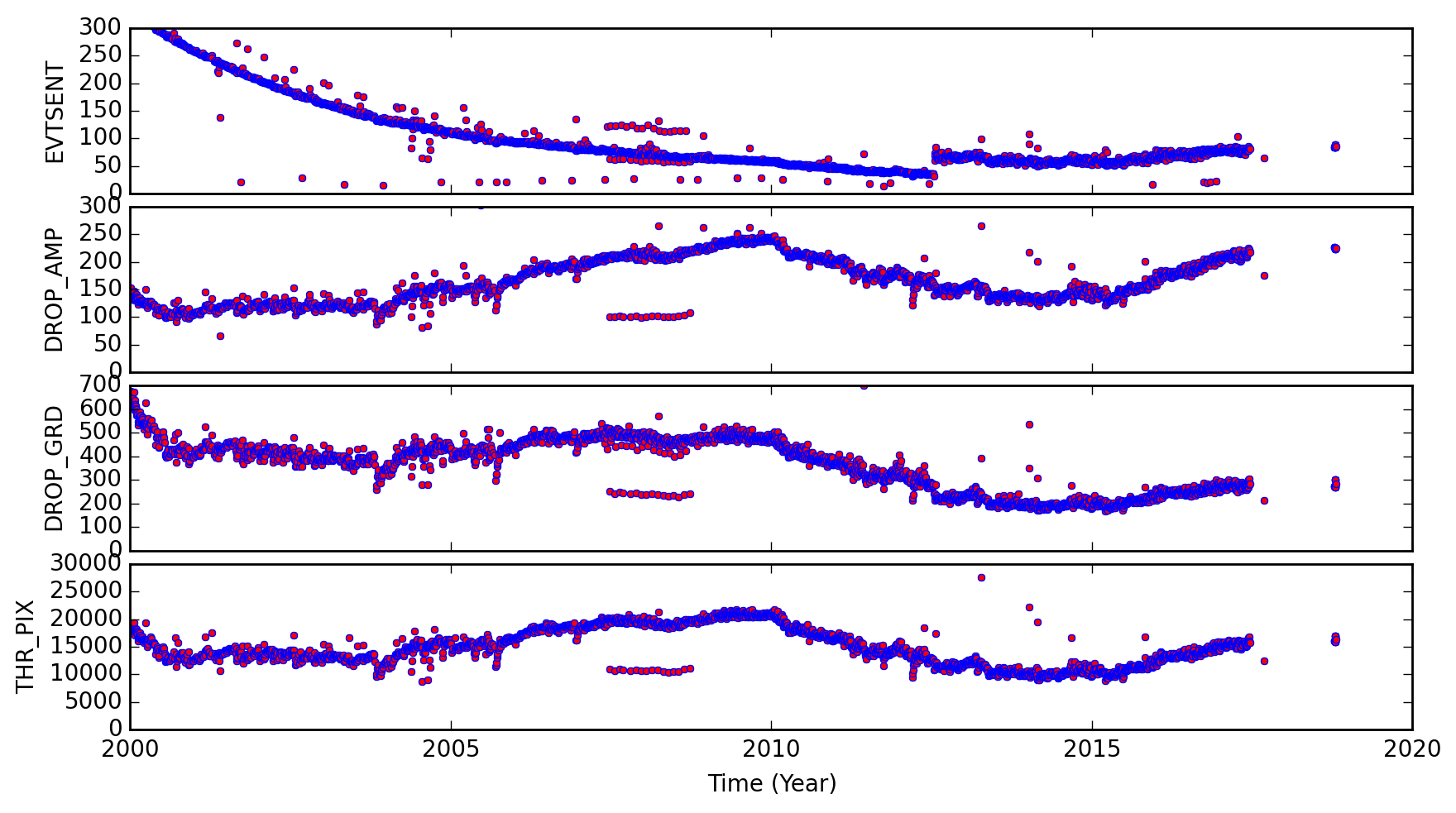
ACIS Rejected Events
The links below are plots of stat1 quantities, showing on-board rejected events. The average EVTSENT, DROP_AMP, DROP_POS, DROP_GRD, THR_PIX, and maximum BERR_SUM obtained from L1 acis*stat1.fits files are plotted for each observation. CTI observations are plotted separately from regular science observations.
Column definitions:
- EVTSENT - number of events sent in data record
- DROP_AMP - number of discarded events due to corrected amplitude
- DROP_POS - number of discarded events due to CCD position
- DROP_GRD - number of discarded events due to grade code
- THR_PIX - number of pixels above respective threshold level
- BERR_SUM - number of pixel bias errors so far in science run
Note the half-life decline of the CTI source is clearly evidenced in the steady janline of EVTSENT.
CCD3 Observations
| CTI | Science |
|
|
|---|
CCD7 Observations
| CTI | Science |
|
|
|---|
ACIS Gain Trends
We computed ACIS gain and offset from ACIS event1 files used in CTI computation, following the step described by C. Grant ACIS gain @ -120C page.
Instead computing gains and offsets from individual observations, we combined all data from each month and computed an monthly averaged gain and offset.
The following plots show CCD3 and CCD5 gains and offset trends.
| CCD 3 | |
|
|
| CCD 5 | |
|
|
[an error occurred while processing this directive]
HRC
DOSE of Central 4K Pore-Pairs
Please refer to Maximum Dose Trends for more details.
IMAGE NPIX MEAN STDDEV MIN MAX HRCI_03_2019.fits 16777216 0.031 0.201 0.000 17.000
IMAGE NPIX MEAN STDDEV MIN MAX HRCI_08_1999_03_2019.fits 16777216 5.696 5.748 0.000 302.000
IMAGE NPIX MEAN STDDEV MIN MAX HRCS_03_2019.fits 16777216 0.044 0.218 0.000 5.000
IMAGE NPIX MEAN STDDEV MIN MAX HRCS_08_1999_03_2019.fits 16777216 17.989 32.779 0.000 1730.000
|
|
Max dose trend plots corrected for events that "pile-up"
in the center of the taps due to bad position information.
|
|
|
|
|
| Dec 2018 | Sep 2018 | Jun 2018 | Mar 2018 |
|---|
|
|
|
|
| Dec 2018 | Sep 2018 | Jun 2018 | Mar 2018 |
|---|
Gratings
Grating Trends/Focus
We plot the width of the zero order streak of ACIS/HETG observations and the width of the zero order image for HRC/LETG observations of point sources. No significant defocusing trend is seen at this time. See Gratings Trends pages.
PCAD
ACA Trending
Gyro Bias Drift
Radiation History
Radiation Count Rates of Mar 2019
Sun Spot History
-->
Trending
Critical Trends
| ACIS Temperatures - Daily Maximums | ||||||
|---|---|---|---|---|---|---|
| MSID | MEAN | RMS | DELTA/YR | DELTA/YR/YR | UNITS | DESCRIPTION |
| 1pdeaat | 304.628 | 7.950 | -0.113+/-0.014 | -0.837+/-0.054 | K | PSMC DEA POWER SUPPLY TEMP A |
| 1pin1at | 339.282 | 12.879 | 0.262+/-0.058 | 2.010+/-0.102 | K | PSMC TEMP 1A |
| HRMA Computed Averages - Daily Maximums | ||||||
|---|---|---|---|---|---|---|
| MSID | MEAN | RMS | DELTA/YR | DELTA/YR/YR | UNITS | DESCRIPTION |
| obaavg | 297.154 | 1.669 | -0.026+/-0.004 | -0.320+/-0.007 | TEMP | OBA/TFTE |
| EPHIN Temperatures - Daily Maximums | ||||||
|---|---|---|---|---|---|---|
| MSID | MEAN | RMS | DELTA/YR | DELTA/YR/YR | UNITS | DESCRIPTION |
| teio | 317.100 | 26.383 | -0.143+/-0.047 | -2.252+/-0.125 | K | EPHIN ELECTRONICS HOUSING TEMP |
| tephin | 328.808 | 6.553 | 0.011+/-0.011 | 0.033+/-0.040 | K | EPHIN SENSOR HOUSING TEMP |
| S/C Main Temperatures - Daily Maximums | ||||||
|---|---|---|---|---|---|---|
| MSID | MEAN | RMS | DELTA/YR | DELTA/YR/YR | UNITS | DESCRIPTION |
| S/C Ancillary Temperatures - Daily Maximums | ||||||
|---|---|---|---|---|---|---|
| MSID | MEAN | RMS | DELTA/YR | DELTA/YR/YR | UNITS | DESCRIPTION |
| tfssbkt1 | 336.821 | 29.505 | -0.076+/-0.058 | -2.721+/-0.101 | K | FSS BRACKET-1 TEMP (+Y) |
| tfssbkt2 | 333.264 | 33.575 | -0.155+/-0.067 | -2.906+/-0.134 | K | FSS BRACKET-2 TEMP (-Y) |
| tsctsf1 | 312.384 | 3.802 | -0.018+/-0.007 | -0.224+/-0.036 | K | SC-TS FITTING -1 TEMP |
| tsctsf6 | 312.531 | 3.724 | -0.012+/-0.007 | -0.223+/-0.033 | K | SC-TS FITTING -6 TEMP |
| MUPS - Daily Maximums | ||||||
|---|---|---|---|---|---|---|
| MSID | MEAN | RMS | DELTA/YR | DELTA/YR/YR | UNITS | DESCRIPTION |
| pm1thv1t | 347.153 | 13.289 | -0.127+/-0.027 | -1.616+/-0.060 | K | MUPS 1 THRUSTER VALVE 01 TEMP |
| pline02t | 328.299 | 12.270 | -0.162+/-0.025 | -1.664+/-0.066 | K | PROP LINE TEMP 02 |
| pline03t | 323.911 | 15.565 | -0.195+/-0.033 | -2.312+/-0.080 | K | PROP LINE TEMP 03 |
| pline04t | 309.617 | 11.773 | -0.225+/-0.024 | -1.854+/-0.073 | K | PROP LINE TEMP 04 |
Quarterly Trends
- PCAD FTS Temperature and Gradient
| Previous Quarter | ||||||
| MSID | MEAN | RMS | DELTA/YR | DELTA/YR/YR | UNITS | DESCRIPTION |
| ohrthr27 | 297.191 | 0.011 | (-3.36+/-19.51)e-6 | 0.001+/-0.000 | K | RT 20 : PERISCOPE |
|---|---|---|---|---|---|---|
| ohrthr42 | 296.043 | 0.224 | -0.009+/-0.000 | -0.022+/-0.005 | K | RT 133: PERISCOPE |
| ohrthr43 | 296.240 | 0.265 | -0.009+/-0.000 | -0.020+/-0.005 | K | RT 134: PERISCOPE |
| oobagrd3 | -0.270 | 0.061 | (-4.05+/-1.16)e-4 | -0.002+/-0.001 | K | RT 505 TO RT 504: PERISCOPE GRADIENT MONITOR |
| oobagrd6 | 0.104 | 0.006 | (-1.11+/-0.10)e-4 | (7.96+/-92.77)e-6 | K | RT 507 TO RT 506: PERISCOPE GRADIENT MONITOR |
- SIM Temperature
| Previous Quarter | ||||||
| MSID | MEAN | RMS | DELTA/YR | DELTA/YR/YR | UNITS | DESCRIPTION |
| 3btu_bpt | 270.563 | 7.586 | -0.063+/-0.014 | -1.731+/-0.064 | K | BTU BASEPLATE (+X) |
|---|---|---|---|---|---|---|
| 3tsmxcet | 244.062 | 42.236 | 0.280+/-0.084 | 2.249+/-0.176 | K | -X TURTLE SHELL |
| 3tsmxspt | 460.124 | 200.775 | 0.994+/-0.393 | 9.297+/-0.961 | K | -X TURTLE SHELL |
- SIIM Electronics
| Previous Quarter | ||||||
| MSID | MEAN | RMS | DELTA/YR | DELTA/YR/YR | UNITS | DESCRIPTION |
| agrndadc | -8.132e-05 | 1.641e-04 | (8.98+/-5.21)e-7 | (1.11+/-0.09)e-5 | --- | agrndadc |
|---|---|---|---|---|---|---|
| fatabadc | 4.994 | 0.053 | (3.01+/-0.84)e-5 | 0.004+/-0.000 | V | FA Tab Position Sensor A/D Converter |
| n15vadc | -15.016 | 0.000 | (6.73+/-1.32)e-6 | (1.39+/-0.03)e-4 | V | -15V Power Supply A/D Converter Reading |
| p15vadc | 14.963 | 0.001 | (1.08+/-1.73)e-6 | (3.22+/-0.47)e-5 | V | +15V Power Supply A/D Converter Reading |
| p5vadc | 4.983 | 0.025 | (4.11+/-0.86)e-4 | 0.006+/-0.000 | V | +5V Power Supply A/D Converter Reading |
| tsctabadc | 4.976 | 0.166 | (-5.96+/-3.80)e-4 | -0.011+/-0.000 | V | TSC Tab Position Sensor A/D converter |
Spacecraft Motions
TSC and FA Cummulative Moter Distance
HETG and LETG Cummulative Insertion Counts
HETG/LETG Insertion/Retraction Angle
Reaction Wheel Rotations