The steps we took to compute the dose map are;
Please check more detail plots at Telemetered Photon Dose Trend page.
Statistics: # IMAGE NPIX MEAN RMS MIN MAX ACIS_nov13 6004901 6.428 12.585 0.0 1588 I2 node 0 262654 9.092484 3.786394 0.0 56.0 I2 node 1 262654 9.587274 4.450175 0.0 627.0 I2 node 2 262654 9.360607 3.822973 0.0 83.0 I2 node 3 262654 9.368943 5.127393 0.0 1588.0 I3 node 0 262654 8.782521 3.833681 0.0 44.0 I3 node 1 262654 9.592995 8.445735 0.0 190.0 I3 node 2 262654 8.466258 3.611743 0.0 82.0 I3 node 3 262654 8.261356 3.589362 0.0 116.0 S2 node 0 262654 5.492168 2.689810 0.0 111.0 S2 node 1 262654 5.671709 2.990645 0.0 41.0 S2 node 2 262654 5.794213 2.889405 0.0 66.0 S2 node 3 262654 5.519471 2.790483 0.0 280.0 S3 node 0 262654 19.717463 38.218459 0.0 271.0 S3 node 1 262654 8.053175 7.776861 0.0 147.0 S3 node 2 262654 6.599655 2.756156 0.0 32.0 S3 node 3 262654 6.022296 2.615680 0.0 29.0
Statistics: IMAGE NPIX MEAN RMS MIN MAX ACIS_total 6004901 1752.008 2311.384 0.0 102750 I2 node 0 262654 1479.043949 292.405207 0.0 8942.0 I2 node 1 262654 1554.913586 393.439569 0.0 35767.0 I2 node 2 262654 1583.093842 339.484040 0.0 6740.0 I2 node 3 262654 1579.558288 400.855785 0.0 9386.0 I3 node 0 262654 1655.510870 404.862815 0.0 6526.0 I3 node 1 262654 1738.102692 1320.644966 0.0 33613.0 I3 node 2 262654 1516.899724 281.078864 0.0 7590.0 I3 node 3 262654 1502.880467 299.121015 0.0 26101.0 S2 node 0 262654 2104.675731 321.976403 1098.0 28657.0 S2 node 1 262654 2242.613955 493.436563 1150.0 12380.0 S2 node 2 262654 2480.057334 483.870823 1486.0 42215.0 S2 node 3 262654 2413.529533 365.222791 1429.0 40231.0 S3 node 0 262654 3688.330028 1741.002549 1512.0 12809.0 S3 node 1 262654 4763.240881 1926.574431 0.0 13090.0 S3 node 2 262654 3678.076949 924.589349 1486.0 9221.0 S3 node 3 262654 2880.387842 447.582014 1646.0 9383.0
|
|
|
|
| Aug 2013 | May 2013 | Feb 2013 | Nov 2012 |
|---|
We report CTIs with a refined data definition. CTIs were computed for the temperature dependency corrected data. Please see CTI page for detailed explanation. CTI's are computed for Mn K alpha, and defined as slope/intercept x10^4 of row # vs ADU. Data file: here
| The Mean (max) FPT: | |
|---|---|
| -114.76 | +/- 3.98 C |
| Mean Width: | |
| 0.73 | +/- 0.72 days |
We are using 10 period moving averages to show trends of peak temperatures and peak widths. Note, the gaps in the width plot are due to missing/corrupted data.
The plots below were generated with a new warm pixel finding script. Please see Acis Bad Pixel Page for details.
| Name | Low (keV) | High(KeV) | Description |
|---|---|---|---|
| SSoft | 0.00 | 0.50 | Super soft photons |
| Soft | 0.50 | 1.00 | Soft photons |
| Med | 1.00 | 3.00 | Moderate energy photons |
| Hard | 3.00 | 5.00 | Hard Photons |
| Harder | 5.00 | 10.00 | Very Hard photons |
| Hardest | 10.00 | Beyond 10 keV |

The following three plots show trends of SIB from year 2000. CCDs shown here are CCD3, CCD5, and CCD7. Fitted lines are linear fit after eliminating extreme outliers. For >10 keV plots, 2 lines are fit. One is with a 13 keV filter, and another without.



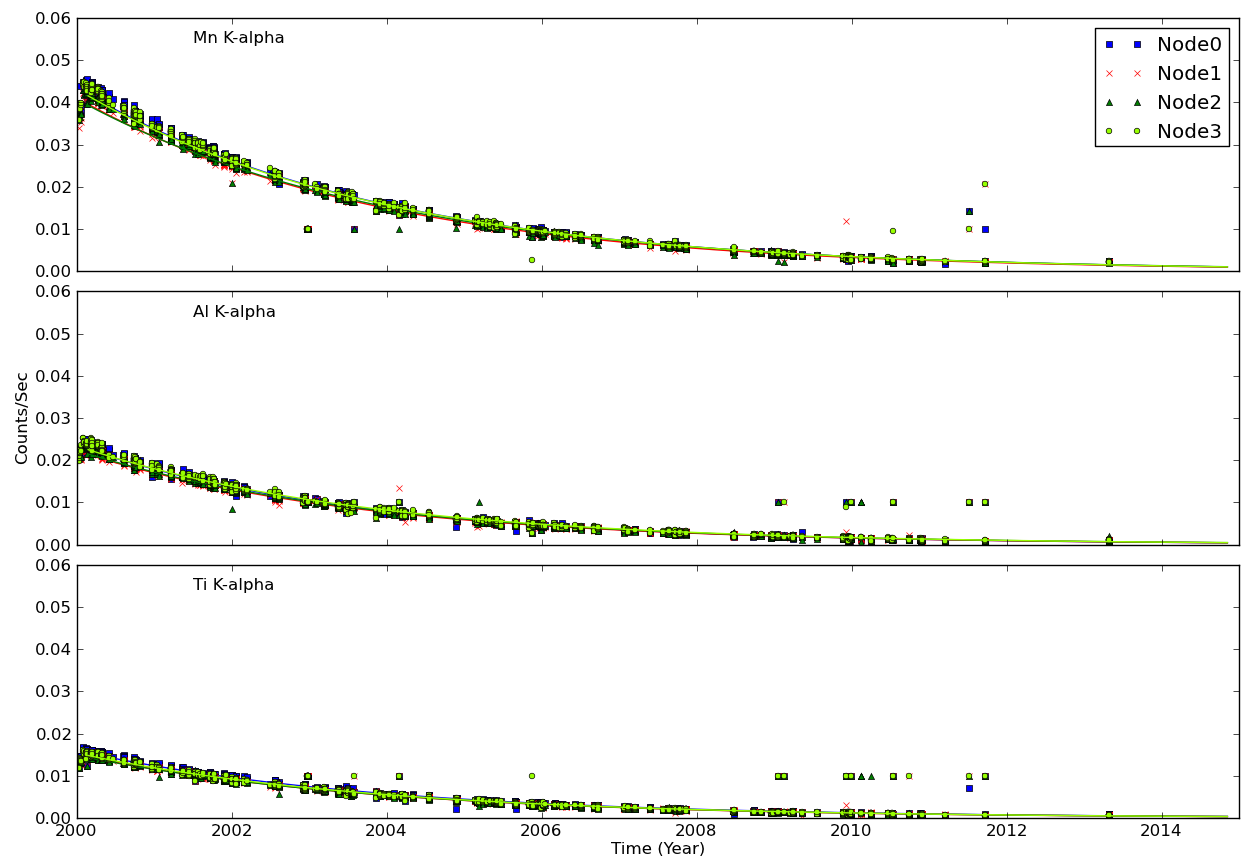
We collected data from acis histogram mode data, and created trend plots of peak portions and peak widths against time (DOM). The peaks were estimated by fitting a simple Gaussian on three peaks (Al, Ti, and Mn), and the widths were estimated by a width at the half max from the peak.
All histogram data are taken under TIMED and GRADED_HIST mode, SIM position is at an external calibration source position, the focal temperature is around -119.7 C, and parameter settings in aciselec, acistemp are set to about same for all.
Please refer to Maximum Dose Trends for more details.
IMAGE NPIX MEAN STDDEV MIN MAX
HRCI_11_2013.fits 16777216 0.027 0.0517 0.0 2.0
IMAGE NPIX MEAN STDDEV MIN MAX
HRCI_08_1999_11_2013.fits 16777216 4.078 4.809 0.0 292.0
IMAGE NPIX MEAN STDDEV MIN MAX
HRCS_11_2013.fits 16777216 0.155 1.9712 0.0 142.0
IMAGE NPIX MEAN STDDEV MIN MAX
HRCS_08_1999_11_2013.fits 16777216 15.243 26.262 0.0 1678.0
|
|
Max dose trend plots corrected for events that "pile-up"
in the center of the taps due to bad position information.
|
|
|
|
|
| Aug 2013 | May 2013 | Feb 2013 | Nov 2012 |
|---|
|
|
|
|
| Aug 2013 | May 2013 | Feb 2013 | Nov 2012 |
|---|
We plot the width of the zero order streak of ACIS/HETG observations and the width of the zero order image for HRC/LETG observations of point sources. No significant defocusing trend is seen at this time. See Gratings Focus pages.
| Previous Quarter | ||||||
| MSID | MEAN | RMS | DELTA/YR | DELTA/YR/YR | UNITS | DESCRIPTION |
| OOBTHR04 | 293.79 | 0.89 | -2.138e+00 | 3.001e+00 | K | RT 27: HRMA STRUT |
| OOBTHR09 | 292.80 | 1.56 | -3.298e+00 | -8.810e+00 | K | RT 32: OBA CONE |
| OOBTHR18 | 292.65 | 1.54 | -3.148e+00 | -1.124e+01 | K | RT 40: OBA CONE |
| OOBTHR45 | 297.23 | 1.67 | -3.077e+00 | 2.165e+01 | K | RT 67: TFTE COVER |
| OOBTHR58 | 293.80 | 1.50 | -3.358e+00 | -7.840e-01 | K | RT 151: OBA CONE |
| Previous Quarter | ||||||
| MSID | MEAN | RMS | DELTA/YR | DELTA/YR/YR | UNITS | DESCRIPTION |
| 4RT569T | 294.40 | 8.341e-02 | -2.314e-01 | -6.853e+00 | K | RT 569 - HRMA TEMP |
| 4RT575T | 294.26 | 1.47 | -3.095e+00 | 1.389e+00 | K | RT 575 - OB CONE TEMP |
| 4RT578T | 292.79 | 2.49 | -5.187e+00 | -5.107e+01 | K | RT 578 - OB CONE TEMP |
| Previous Quarter | ||||||
| MSID | MEAN | RMS | DELTA/YR | DELTA/YR/YR | UNITS | DESCRIPTION |
| 4RT584T | 293.83 | 0.86 | -2.110e+00 | 2.536e+00 | K | RT 584 - STRUT TEMP |
| 4RT585T | 293.93 | 0.83 | -1.889e+00 | -3.120e+00 | K | RT 585 - STRUT TEMP |
| 4RT586T | 291.25 | 0.71 | -1.578e+00 | -5.560e+00 | K | RT 586 - STRUT TEMP |
| 4RT597T | 295.94 | 1.82 | -3.271e+00 | 2.641e+01 | K | RT 597 - TFTE TEMP |
| 4RT598T | 295.49 | 1.79 | -3.239e+00 | 1.392e+01 | K | RT 598 - TFTE TEMP |
|
|
Note: From Feb 2010, the computation of reaction wheel rotations are slightly modified.
| Year | Month | |||||||||||
|---|---|---|---|---|---|---|---|---|---|---|---|---|
| 1999 | Jul | Aug | Sep | Oct | Nov | Dec | ||||||
| 2000 | Jan | Feb | Mar | Apr | May | Jun | Jul | Aug | Sep | Oct | Nov | Dec |
| 2001 | Jan | Feb | Mar | Apr | May | Jun | Jul | Aug | Sep | Oct | Nov | Dec |
| 2002 | Jan | Feb | Mar | Apr | May | Jun | Jul | Aug | Sep | Oct | Nov | Dec |
| 2003 | Jan | Feb | Mar | Apr | May | Jun | Jul | Aug | Sep | Oct | Nov | Dec |
| 2004 | Jan | Feb | Mar | Apr | May | Jun | Jul | Aug | Sep | Oct | Nov | Dec |
| 2005 | Jan | Feb | Mar | Apr | May | Jun | Jul | Aug | Sep | Oct | Nov | Dec |
| 2006 | Jan | Feb | Mar | Apr | May | Jun | Jul | Aug | Sep | Oct | Nov | Dec |
| 2007 | Jan | Feb | Mar | Apr | May | Jun | Jul | Aug | Sep | Oct | Nov | Dec |
| 2008 | Jan | Feb | Mar | Apr | May | Jun | Jul | Aug | Sep | Oct | Nov | Dec |
| 2009 | Jan | Feb | Mar | Apr | May | Jun | Jul | Aug | Sep | Oct | Nov | Dec |
| 2010 | Jan | Feb | Mar | Apr | May | Jun | Jul | Aug | Sep | Oct | Nov | Dec |
| 2011 | Jan | Feb | Mar | Apr | May | Jun | Jul | Aug | Sep | Oct | Nov | Dec |
| 2012 | Jan | Feb | Mar | Apr | May | Jun | Jul | Aug | Sep | Oct | Nov | Dec |
| 2013 | Jan | Feb | Mar | Apr | May | Jun | Jul | Aug | Sep | Oct | ||