Bayesian Analysis in Sherpa
![[CXC Logo]](/ciao/imgs/cxc-logo.gif)
Sherpa Threads (CIAO 4.18 Sherpa)
Overview
Synopsis:
pyBLoCXS is a sophisticated Markov chain Monte Carlo (MCMC) based algorithm designed to carry out Bayesian Low-Count X-ray Spectral (BLoCXS) analysis in the Sherpa environment. The algorithm may be used to explore parameter space at a suspected minimum using a pre-defined Sherpa model to high-energy X-ray spectral data.
Run this thread if:
Last Update: 25 Nov 2025 - reviewed for CIAO 4.18, updated returned outputs and figures.
Contents
- Introduction to pyBLoCXS
- Getting Started
- Fitting a Model to the Spectrum
- Running the pyBLoCXS Routine
- Visualizing the Results of the pyBLoCXS Simulations
- Scripting It
- History
-
Images
- Figure 1: Starting point for the MCMC analysis
- Figure 2: Trace Plot of Fit Statistic Values
- Figure 3: Probability Distribution of a Selected Parameter
- Figure 4: Cumulative Distribution of a Selected Parameter
- Figure 5: Scatter Plot of Two Correlated Model Parameters
- Figure 6: Comparing scatter to region-projection
Introduction to pyBLoCXS
The pyBLoCXS code is a Python extension to Sherpa that explores model parameter space at a suspected minimum using a pre-defined Sherpa model to high-energy X-ray spectral data. pyBLoCXS includes a flexible definition of priors and can efficiently probe the model parameter space to characterize the posterior distributions. It allows for variations in the calibration information and can be used to compute posterior predictive p-values for the likelihood ratio test (see Protassov, et al. 2002, ApJ 571, 542, Statistics, Handle with Care: Detecting Multiple Model Components with the Likelihood Ratio Test).
The Sherpa get_draws function runs a pyBLoCXS chain using fit information associated with the user-specified data set(s), the currently set sampler, and parameter priors for a specified number of iterations. It returns an array of simulated fit statistic values, an array of True or False accepted/rejected Booleans, and a 2-D array of associated model parameter values.
A general description of the MCMC techniques employed by the pyBLoCXS algorithm can be found in the following references:
- Appendices A.2-A.4 of van Dyk, et al 2001, ApJ 548, 224, "Analysis of Energy Spectra with Low Photon Counts via Bayesian Posterior Simulation"
- Chapter 11 of Gelman, Carlin, Stern, and Rubin (Bayesian Data Analysis, 2nd Edition, 2004, Chapman & Hall/CRC)
- Lee, H., et al. 2011, ApJ 731, 126, Accounting for Calibration Uncertainties in X-ray Analysis: Effective Areas in Spectral Fitting
The Sherpa pyBLoCXS functions include:
- get_draws – runs the pyBLoCXS MCMC-based algorithm using the current sampler
- set_sampler / get_sampler – sets/retrieves the current pyBLoCXS sampler
- set_sampler_opt / get_sampler_opt – sets/retrieves the sampler options for a pyBLoCXS chain
- list_samplers – lists all available pyBLoCXS samplers
- get_sampler_name – returns the name of the current sampler
- list_priors – lists thawed Sherpa model parameters with associated priors
- set_prior / get_prior – sets/retrieves a prior function for a particular Sherpa model parameter
Getting Started
Please follow the Obtaining Data Used in Sherpa thread in order to obtain the sample data used in this thread. The spectral data products for the PKS 1127-145 quasar core are located in the pyblocxs sub-directory.
Fitting a Model to the Spectrum
The pyBLoCXS routine requires information about a fit to a data set in order to run; therefore, we begin by loading a source spectrum into Sherpa, fitting a model to it, and calculating confidence intervals on thawed parameters using the covariance method.
The source spectrum is loaded with load_pha, and the source model expression to be used for fitting is defined with set_model. We decide to restrict the analysis to the 0.5–7.0 keV energy range, using the ignore command.
sherpa> load_pha(1, "core.pi") sherpa> set_model(xsphabs.abs0 * powlaw1d.p1) sherpa> ignore(None, 0.5) dataset 1: 0.0073:14.9504 -> 0.511:14.9504 Energy (keV) sherpa> ignore(7., None) dataset 1: 0.511:14.9504 -> 0.511:6.9934 Energy (keV)
We fit an absorbed power-law model to the data using the robust, Nelder-Mead Simplex fit optimization method and Cash fit statistic in order to select a Poisson likelihood as appropriate for pyBLoCXS simulations.
sherpa> set_method("neldermead") sherpa> set_stat("cash")
Then, we fit and estimate confidence intervals on all thawed parameters with the Sherpa covariance command.
sherpa> fit() WARNING: data set 1 has associated backgrounds, but they have not been subtracted, nor have background models been set Dataset = 1 Method = neldermead Statistic = cash Initial fit statistic = 1.01254e+08 Final fit statistic = -461303 at function evaluation 658 Data points = 444 Degrees of freedom = 441 Change in statistic = 1.01716e+08 abs0.nH 0.0721599 p1.gamma 1.24384 p1.ampl 0.000676157
![[NOTE]](../../imgs/note.png)
Sherpa has recognized that the PHA data has an associated background data set but it is not being used (it cannot be subtracted when using the Cash statistic, and no model has been set up to fit it). For this example we will ignore the background contribution, but in an actual analysis you will have to decide how to handle the background.
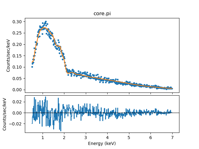
sherpa> plot_fit_resid(yerrorbars=False) WARNING: The displayed errorbars have been supplied with the data or calculated using chi2xspecvar; the errors are not used in fits with wstat WARNING: The displayed errorbars have been supplied with the data or calculated using chi2xspecvar; the errors are not used in fits with wstat
Figure 1: Starting point for the MCMC analysis
![[A plot of the best-fit model overlaying the data (top plot) and the residuals about this plot (bottom). There's a lot of scatter but the fit seems reasonable.]](initial-fit.png)
![[Print media version: A plot of the best-fit model overlaying the data (top plot) and the residuals about this plot (bottom). There's a lot of scatter but the fit seems reasonable.]](initial-fit.png)
Figure 1: Starting point for the MCMC analysis
sherpa> covar() WARNING: data set 1 has associated backgrounds, but they have not been subtracted, nor have background models been set Dataset = 1 Confidence Method = covariance Iterative Fit Method = None Fitting Method = neldermead Statistic = cash covariance 1-sigma (68.2689%) bounds: Param Best-Fit Lower Bound Upper Bound ----- -------- ----------- ----------- abs0.nH 0.0721599 -0.00455609 0.00455609 p1.gamma 1.24384 -0.0126143 0.0126143 p1.ampl 0.000676157 -9.20228e-06 9.20228e-06
Running the pyBLoCXS Routine
pyBLoCXS simulations are executed with the get_draws function, using the fit information associated with our specified data set(s)—and the current sampler and parameter priors—for a specified number of iterations. The simplest case uses the default MetropolisMH sampler, and flat priors for all parameters.
The list of all available samplers is returned by the list_samplers function, and the currently set sampler may be viewed with get_sampler_name, as demonstrated below.
sherpa> print(get_sampler_name()) MetropolisMH sherpa> print(list_samplers()) ['metropolismh', 'mh', 'pragbayes', 'fullbayes']
The sampler—the type of jumping rule to be used in MCMC—can be either MH, MetropolisMH, pragbayes, or fullbayes (note that fullbayes is not thoroughly tested and not recommended at this time). Metropolis and Metropolis-Hastings are the two standard algorithms for sampling the model parameter space (the posterior). Metropolis jumps to the new set of parameters from the current parameter set, while Metropolis-Hastings always jumps from the best fit. The Sherpa sampler MH is a pure Metropolis-Hastings implementation. MetropolisMH is a mixture of Metropolis and Metropolis-Hastings, selected with a probability p_M. PragBayes is used when the effective area calibration uncertainty is to be included in the calculation.
![[NOTE]](../../imgs/note.png)
At each nominal MCMC iteration, a new calibration product is generated, and a series of N (option in set_sampler_opt) MCMC sub-iteration steps are carried out, choosing between Metropolis and Metropolis-Hastings types of samplers with probability p_M (option in set_sampler_opt). Only the last of these sub-iterations are kept in the chain.
The get_sampler function is available for accessing the default settings of the current sampler, and set_sampler_opt for modifying those settings.
sherpa> get_sampler()
{'log': False,
'inv': False,
'defaultprior': True,
'priorshape': False,
'priors': (),
'originalscale': True,
'scale': 1,
'sigma_m': False,
'p_M': 0.5}
We accept the default settings for the initial, simplest case and run the sampler using the get_draws function, specifying the names of the output arrays and the number of iterations. Here we use Python syntax to name the data arrays created by the simulations: stats, accept, and params.
sherpa> stats, accept, params = get_draws(niter=1e4)
stats contains a 1-D array of floating-point statistic values; accept contains a 1-D array of True or False accepted/rejected Booleans for each iteration; and params contains a N-D array of parameter values, where N is the number of free parameters in the model. In this example, N is equal to 3.
The get_draws command above produces the following screen output, showing which parameters are being sampled and what prior function is assumed for the simulation (the memory location address represented by a hexadecimal value will not be the same as shown below):
Using Priors: abs0.nH: <function flat at 0x16a43f50> p1.gamma: <function flat at 0x16a43f50> p1.ampl: <function flat at 0x16a43f50>
Visualizing the Results of the pyBLoCXS Simulations
There are several Sherpa plotting functions available for visualizing statistics and parameter values for each accepted iteration; these include:
- plot_pdf()
- plot_cdf()
- plot_trace()
- plot_scatter()
Fit Statistic Values
The plot_trace function can be used to plot, by default, the entire array of statistic values for each sample. We can use the associated get_trace_plot command to specify plot preferences, such as the desired value for line thickness, and then enter the name of the fit statistic array returned by get_draws into the plot_trace expression (stats) to create the plot. Finally, we can save the resulting plot to a PNG format image file with Matplotlib's savefig function.
sherpa> get_trace_plot().plot_prefs
{'xlog': False,
'ylog': False,
'label': None,
'xerrorbars': False,
'yerrorbars': False,
'color': None,
'linestyle': '-',
'linewidth': None,
'marker': 'None',
'alpha': None,
'markerfacecolor': None,
'markersize': None,
'ecolor': None,
'capsize': None}
sherpa> plot_trace(stats, name='Stats')
sherpa> plt.savefig('trace_stats.png')
Figure 2: Trace Plot of Fit Statistic Values
![[Trace plot of fit statistic array returned by get_draws.]](trace_stats.png)
![[Print media version: Trace plot of fit statistic array returned by get_draws.]](trace_stats.png)
Figure 2: Trace Plot of Fit Statistic Values
Model Parameter Values
We may also examine the distribution of model parameters resulting from the simulations, stored in the params array returned by get_draws. Like the other data arrays output by get_draws, this array is a standard NumPy ndarray, which means we can Pythonically obtain information about the array, for example:
sherpa> print(params.shape) (3, 10001) sherpa> print(params.dtype) float64 sherpa> print(params.size) 30003
By manipulating the params array in this way, we can access the simulation results for any of the three model parameters sampled. Below, we filter params to return just the values for iterations 1011 to 1021 of the first parameter, abs0.nH:
sherpa> print(params[0, 1010:1020]) [0.07730099 0.07730099 0.07815561 0.07002759 0.07002759 0.06564917 0.0716346 0.0716346 0.08071107 0.08071107]
Likewise, we can list the parameter values for the second parameter, p1.gamma, over this range:
sherpa> print(params[1, 1010:1020]) [1.26089326 1.26089326 1.26344447 1.24490824 1.24490824 1.23839814 1.25124477 1.25124477 1.26415718 1.26415718]
This range was chosen at random, and has no "theoretical" significance. Figure 5 shows how the parameter values vary together.
The probability distribution of parameter values may be plotted with the plot_pdf command, as shown below for the gamma parameter:
sherpa> plot_pdf(params[1, :], name=r'$\Gamma$')
Figure 3: Probability Distribution of a Selected Parameter
![[Plot of the probability distribution of the gamma parameter values from the simulations]](pdf_gamma.png)
![[Print media version: Plot of the probability distribution of the gamma parameter values from the simulations]](pdf_gamma.png)
Figure 3: Probability Distribution of a Selected Parameter
The plot_cdf function displays the cumulative distribution, with the median and 1σ bounds marked on the plot:
sherpa> plot_cdf(params[1, :], name=r'$\Gamma$')
Figure 4: Cumulative Distribution of a Selected Parameter
![[Plot of the cumulative probability distribution of the gamma parameter values from the simulations]](cdf_gamma.png)
![[Print media version: Plot of the cumulative probability distribution of the gamma parameter values from the simulations]](cdf_gamma.png)
Figure 4: Cumulative Distribution of a Selected Parameter
To access all information about the displayed distribution, the get_pdf_plot and get_cdf_plot functions may be used; for example:
sherpa> print(get_cdf_plot())
points = [1.24383905, 1.2767688 , 1.2767688 , 1.2801343 , 1.2801343 ,
1.2801343, 1.2801343 , 1.27157299, 1.27509573, 1.27509573
...
1.242648, 1.252413, 1.27287907, 1.25043551, 1.25870769,
1.25733492, 1.23335435, 1.23335435, 1.24353489, 1.21219855]
x = [1.19954083, 1.19954083, 1.19954083, 1.19954083, 1.19954083,
1.20071093, 1.20154857, 1.20154857, 1.20164762, 1.20192518
...
1.28092425, 1.28262336, 1.28262336, 1.2828746 , 1.28291182,
1.28291182, 1.28450107, 1.28541183, 1.28594562, 1.28685703]
y = [9.99900010e-05, 1.99980002e-04, 2.99970003e-04,
3.99960004e-04, 4.99950005e-04, 5.99940006e-04, 6.99930007e-04,
7.99920008e-04, 8.99910009e-04, 9.99900010e-04,
...
0.99910009, 0.99920008, 0.99930007, 0.99940006, 0.99950005,
0.99960004, 0.99970003, 0.99980002, 0.99990001, 1.0000e+00]
median = 1.2439613570154027
lower = 1.2307407079918566
upper = 1.2565072730084514
xlabel = x
ylabel = p(<=x)
title = CDF: $\Gamma$
plot_prefs = {'xlog': False, 'ylog': False, 'label': None,
'xerrorbars': False, 'yerrorbars': False, 'color': None,
'linestyle': '-', 'linewidth': None, 'marker': 'None', 'alpha': None,
'markerfacecolor': None, 'markersize': None, 'ecolor': None, 'capsize': None}
To access the values for the median of the distribution, and the lower and upper bounds, we can use the function directly, as follows:
sherpa> get_cdf_plot().median
1.2439613570154027
sherpa> get_cdf_plot().lower
1.2307407079918566
sherpa> get_cdf_plot().upper
1.2565072730084514
We can also display the values of the parameters in a scatter plot, showing correlations between different parameters. Here we display abs0.nH and p1.gamma, showing parameter correlation typical of an X-ray data set.
sherpa> plot_scatter(params[0, :], params[1, :], name=r'n$_H$ vs. $\Gamma$', xlabel='n$_H$', ylabel=r'$\Gamma', markersize=1)
Figure 5: Scatter Plot of Two Correlated Model Parameters
![[Scatter plot showing correlation of NH and Gamma model parameter values]](abs_gamma.png)
![[Print media version: Scatter plot showing correlation of NH and Gamma model parameter values]](abs_gamma.png)
Figure 5: Scatter Plot of Two Correlated Model Parameters
Finally, we can access the data arrays and preferences defining the scatter plot with the get_scatter_plot function:
sherpa> print(get_scatter_plot())
x = [0.07215994, 0.08160743, 0.08160743, 0.08328077, 0.08328077, 0.08328077,
0.08328077, 0.0760372, 0.07896828, 0.07896828,
...
0.07292219, 0.07389207, 0.08330532, 0.07273906, 0.07402626, 0.07573877,
0.07094953, 0.07094953, 0.06851251, 0.06229183]
y = [1.24383905, 1.2767688, 1.2767688, 1.2801343, 1.2801343, 1.2801343,
1.2801343, 1.27157299, 1.27509573, 1.27509573,
...
1.242648, 1.252413, 1.27287907, 1.25043551, 1.25870769, 1.25733492,
1.23335435, 1.23335435, 1.24353489, 1.21219855]
yerr = None
xerr = None
xlabel = n$_H$
ylabel = $\Gamma$
title = Scatter: n$_H$ vs. $\Gamma$
plot_prefs = {'xlog': False, 'ylog': False, 'label': None,
'xerrorbars': False, 'yerrorbars': True, 'color': None,
'linestyle': 'None', 'linewidth': None, 'marker': '.', 'alpha': None,
'markerfacecolor': None, 'markersize': None, 'ecolor': None, 'capsize': None}
This can be compared to the standard error analysis; for example overplotting the reg_proj contours with:
sherpa> reg_proj(abs0.nh, p1.gamma, overplot=True) WARNING: data set 1 has associated backgrounds, but they have not been subtracted, nor have background models been set
Figure 6: Comparing scatter to region-projection
![[The one-, two-, and three-sigma contours added by the reg_proj command seem to match the data (but a more-quantitative analysis is really needed than this visual comparison).]](abs_gamma_overplot.png)
![[Print media version: The one-, two-, and three-sigma contours added by the reg_proj command seem to match the data (but a more-quantitative analysis is really needed than this visual comparison).]](abs_gamma_overplot.png)
Figure 6: Comparing scatter to region-projection
Scripting It
The file, fit.py , performs the primary commands used above. It can be executed by typing '%run -i fit.py' on the Sherpa command line. The Sherpa script command may be used to save everything typed on the command line in a Sherpa session:
sherpa> script(filename="sherpa.log", clobber=False)
(Note that restoring a Sherpa session from such a file could be problematic since it may include syntax errors, unwanted fitting trials, et cetera.)
History
| 15 Dec 2011 | new for CIAO 4.4 |
| 11 Dec 2013 | reviewed for CIAO 4.6: no changes |
| 19 Mar 2015 | updated for CIAO 4.7, no content change. |
| 09 Dec 2015 | reviewed for CIAO 4.8, no content change. |
| 01 Dec 2016 | reviewed for CIAO 4.9, no content change. |
| 29 May 2018 | reviewed for CIAO 4.10, no content change. |
| 13 Dec 2018 | reviewed for CIAO 4.11, no content change. |
| 10 Dec 2019 | Updated for CIAO 4.12, changing ChIPS to matplotlib; added a workaround for plot_cdf being broken in CIAO 4.12. |
| 21 Dec 2020 | Updated for plot changes in CIAO 4.13 and to note that plot_cdf works again. |
| 28 Mar 2022 | reviewed for CIAO 4.14, fixed typos, no content change. |
| 06 Dec 2022 | reviewed for CIAO 4.15, no content change. |
| 28 Nov 2023 | reviewed for CIAO 4.16, fixed typos, updated returned outputs, no content change. |
| 13 Dec 2024 | reviewed for CIAO 4.17, updated returned outputs and figures. |
| 25 Nov 2025 | reviewed for CIAO 4.18, updated returned outputs and figures. |