CIAO 3.3.0.1 Release Notes
- How CALDB 3.2.4 Affects Your Analysis
- How CALDB 3.2.3 Affects Your Analysis
- How CALDB 3.2.2 Affects Your Analysis
- CIAO 3.3.0.1 Updates
How CALDB 3.2.4 Affects Your Analysis
CALDB 3.2.4 was released on 07 November 2006.
This release contains changes that affect:
- all ACIS data observed from November 2005 through the present
- data from chips ACIS-I0 and ACIS-I2 only, observed from May 2005 through August 2005
Note that there is no compatibility problem if you upgrade to CALDB 3.2.4, but continue to use CIAO 3.2.2.
Time-dependent ACIS Gain Files
-
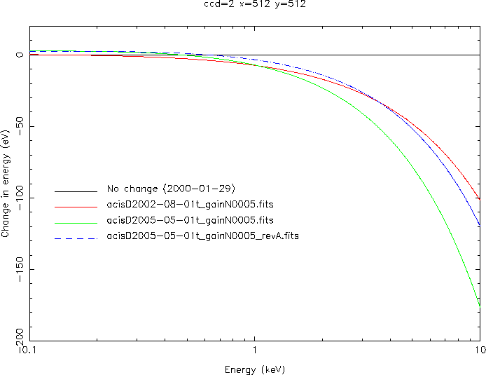
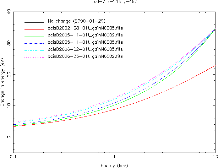
CALDB 3.2.4 contains new time-dependent ACIS Gain (TGAIN) files (version N0005) for the periods February-April 2006 (Epoch 25) and May-August 2006 (Epoch 26). These new files replace the previous standard processing default file (acisD2005-11-02t_gainN0002.fits) for all observations taken on or after UTC=2005-11-01T00:00:00.
These four plots illustrate the degree of change the the respective new files will produce in comparison with the old file:
Users working with ACIS data taken during this period may wish to reprocess to improve the TGAIN calibration in their data. The DATE-OBS header keyword records the observation start date. Refer to the plots in the ACIS Time-dependent Gain why topic to see how the new TGAIN calibration compares to the previous default file. Note that unless you are fitting a spectra with oxygen emission lines, the gain refinement is unlikely to have an effect on the spectrum larger than the uncertainties in determining the gain.
-
There is an additional set of TGAIN files that need to be replaced due to a gain discontinuity on I0 and I2 that occurred around 01 August 2005. These files were replaced so that the software doesn't interpolate over the discontinuity. The replacements are:
-
acisD2005-02-01t_gainN0005_revA.fits replaces acisD2005-02-01t_gainN0005.fits
There is virtually zero effect with this change. The upgrade is done so that the file construction is consistent with the other T_GAIN files. No reprocessing of data is recommended for this new file.
-
acisD2005-05-01t_gainN0005_revA.fits replaces acisD2005-05-01t_gainN0005.fits
There is a significant change from the old N0005 file, as illustrated by the green versus the dashed blue curves in the figures that follow. We encourage users to reprocess line-source data from chips I0 or I2, having DATE-OBS within the period 2005-05-01T00:00:00 and 2005-08-01T23:59:59.9, to verify their results from those particular chips. For the other eight chips, reprocessing should be unnecessary.
-
acisD2005-08-02t_gainN0005.fits replaces acisD2005-08-01t_gainN0005.fits
The 2005-08-02 file is only different from the 2005-08-01 file in the value of keyword EPOCH1 and the CVSD date. This makes the delta between the old and new files trivial and indistinguishable within less than 0.1%.
Note: For ACIS-0 and ACIS-2 chips in the 2005-05-01 through 2005-08-01 period, reprocessing and checking line spectral results is recommended. Other than that, unless you are fitting a spectra with oxygen emission lines, the gain refinement produced by these new files is unlikely to affect spectra beyond the total uncertainty in the gain determination itself.
-
How CALDB 3.2.3 Affects Your Analysis
CALDB 3.2.3 was released on 10 August 2006. The calibration changes in this release affect users of HRC-I data only.
Note that there is no compatibility problem if you upgrade to CALDB 3.2.3, but continue to use CIAO 3.2.2.
Corrected HRC-I Gain Map
-
The HRC team found an error in the hrciD1998-10-30gainN0001.fits gain map for HRC-I, released in CALDB 3.2.0 (November 2005). The image in the file is shifted in the horizontal axis, which results in hrc_process_events calculating PI values of zero over a portion of the data. The second HRC-I gain file released in CALDB 3.2.0, hrciD1999-10-04gainN0001.fits, does not have this problem. The shift is corrected in the new gain file, hrciD1998-10-30gainN0002.fits.
These images are of the hrciD1998-10-30gainN0001.fits (left) and hrciD1998-10-30gainN0002.fits (right) gain map files (click each image for a larger version):
The dark maroon vertical stripe on the right side of the N0001 image is a region of zero image values, which corrupts the PI values calculated by hrc_process_events. The scale is linear, with minimum image value of 0 and maximum of 4.5748. In the corrected N0002 gain map, the image minimum value is 0.8508 and the maximum value is still 4.5748.
Who Should Reprocess?
If your data was taken before UTC 1999-10-04T12:00:00 and has been reprocessed between CALDB 3.2.0 and CALDB 3.2.3, the shifted gain map was applied. The gain file name is stored in the GAINCORF header keyword:
unix% dmkeypar hrc_evt2.fits GAINCORF echo+ hrciD1999-10-04gainN0001.fits
Remember that the gain map only changes the PI values calculated by hrc_process_events. Applying the new file will only affect those analyses which use the PI information for quantile color-color analysis.
To reprocess the data to apply the corrected gain, follow the Create a New Level=2 Event File thread.
HRC-I Degap Correction
-
The new gap lookup table, hrciD1999-07-22gaplookupN0002.fits, will improve the encircled energy fraction for any on-axis point sources. This figure illustrates the encircled energy fraction versus radius from the source position of the N0001 (black curve) versus the new N0002 (red curve) files:
The derivation of the gap lookup table is presented in the memorandum HRC-I Degap Lookup from Capella Data [http://hea-www.harvard.edu/%7Ejuda/memos/hrci_degap_lookup/capella/degap/degap_lookup.html]. It was developed using twenty Capella observations taken during the Chandra Cycle 7 observation period.
The new calibration may be applied by reprocessing the data with hrc_process_events, as shown in the HRC-I Degap Correction thread. The degap file will also be applied automatically if the data is reprocessed to apply the corrected HRC-I gain file from this CALDB release.
How CALDB 3.2.2 Affects Your Analysis
CALDB 3.2.2 was released on 15 May 2006.
Note that there is no compatibility problem if you upgrade to CALDB 3.2.2, but continue to use CIAO 3.2.2.
Time-dependent ACIS Gain Files
-
CALDB 3.2.2 consists of three new time-dependent ACIS Gain (TGAIN) files for the May 2005 - November 2005 time period (Epochs 23 and 24). These new files replace the previous standard processing default file (acisD2005-05-01t_gainN0002.fits) for all observations taken on or after UTC=2005-05-01T00:00:00.
Users working with ACIS data taken during this period may wish to reprocess to improve the TGAIN calibration in their data. The DATE-OBS header keyword records the observation start date. Refer to the plots in the ACIS Time-dependent Gain why topic to see how the new TGAIN calibration compares to the previous default file. Note that unless you are fitting a spectra with oxygen emission lines, the gain refinement is unlikely to have an effect on the spectrum larger than the uncertainties in determining the gain.
CIAO 3.3.0.1 Updates
PIMMS
-
The CIAO 3.3.0.1 patch contains a PIMMS effective area file upgrade required for Cycle 8 proposal planning.

