How can I modify a single plot in a display containing multiple plots?
Plotting in Sherpa is done with a combination of Sherpa functions to create the plot (such as plot_data, plot_fit_delchi, reg_proj, and contour_model) and configure the plot (for example set_ylog and get_data_plot_prefs), and matplotlib commands to augment or change the resulting visualizations.
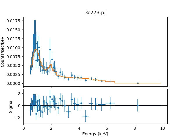
plot_fit_resid and plot_fit_delchi are examples of Sherpa commands which create multiple "plot areas".
sherpa> plot_fit_delchi(xlog=True)
The plot_fit_delchi output from Sherpa
![[There are two plots: the top one, which covers about 2/3 of the vertical plot area, contains the data and the best-fit model spectrum; the bottom plot fills the remaining area and contains the residuals of the model, displayed as a function of the error (ie residual / error).]](plot_fit_delchi.sherpa.png)
![[Print media version: There are two plots: the top one, which covers about 2/3 of the vertical plot area, contains the data and the best-fit model spectrum; the bottom plot fills the remaining area and contains the residuals of the model, displayed as a function of the error (ie residual / error).]](plot_fit_delchi.sherpa.png)
The plot_fit_delchi output from Sherpa
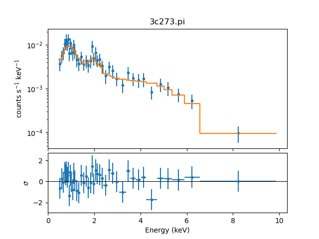
The xlog preference was over-ridden (set to True) in the plot_fit_delchi call, so the X axis is drawn with a logarithmic scale for both plots. This capability is new to Sherpa in CIAO 4.12.
The two plot areas can be accessed using the axes field of the object returned by the matplotlib gcf routine:
sherpa> fig = plt.gcf() sherpa> len(fig.axes) 2
The top plot is the first element and the bottom plot the second element, so to change the label of the Y axis of the top and bottom plots, and the scaling of the top plot, we can say:
sherpa> ax1, ax2 = fig.axes
sherpa> ax1.set_ylabel(r'counts s$^{-1}$ keV$^{-1}$')
sherpa> ax1.set_yscale('log')
sherpa> ax2.set_ylabel(r'$\sigma$')
and then, to add more space to the Y axis
sherpa> plt.subplots_adjust(left=0.15)
Changing the plot
![[The top plot now has a different label (the LaTeX commands in the label make -1 appear as a suffix), and is drawn with a logarithmic scale, and the bottom plot has a Y axis label of the Greek lower-case sigma character.]](plot_fit_delchi.tweaked.png)
![[Print media version: The top plot now has a different label (the LaTeX commands in the label make -1 appear as a suffix), and is drawn with a logarithmic scale, and the bottom plot has a Y axis label of the Greek lower-case sigma character.]](plot_fit_delchi.tweaked.png)
Changing the plot
To learn more about the most commonly used plotting features in Sherpa, see the thread "Plotting in Sherpa Using Common Options".