Please see: SPENVIS for the coordinate systems and transformations used here.
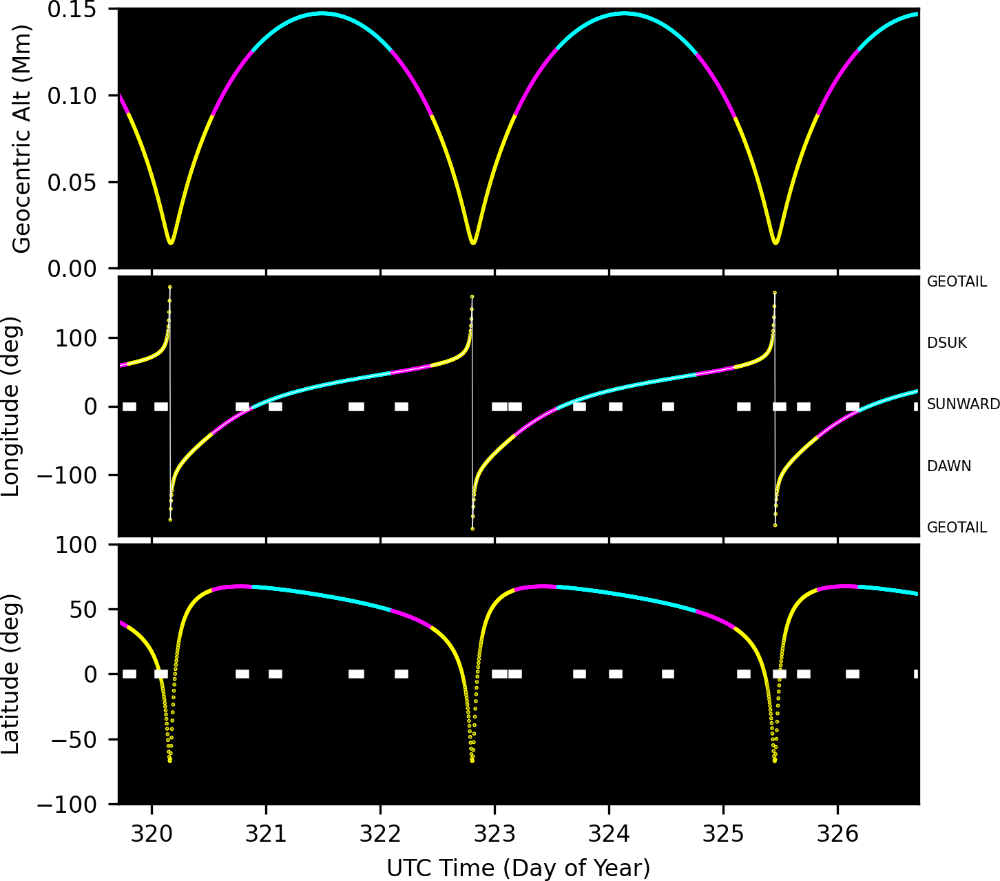
| white dashed line: | DSN Contact Time Period |
|---|---|
| aqua color area: | Solar Wind |
| fuchsia color area: | Magnetoshearth |
| yellow color area: | Magnetosphere |
| white dashed line: | DSN Contact Time Period |
|---|---|
| aqua color area: | Solar Wind |
| fuchsia color area: | Magnetoshearth |
| yellow color area: | Magnetosphere |
Green liness indicates fluence estimates based on the current
KP value.
(Updated every 5 minutes, WITHOUT radiation attenuation appropriate for SIM and OTG positions).
The solar wind speed and desity predictions are made assuming that the particle density and the speed of the the same spot of the sun faces to the Earth are about same and it comes every 27 days. The uncertainty is basically a difference between the last two periods of the same spot of the sun faced the Earth.
| Support Time (GMT) | Contact Time (GMT) | Station | Site | ||
|---|---|---|---|---|---|
| 2026:105:02:15:00 | 2026:105:04:15:00 | 2026:105:03:00:00 | 2026:105:04:00:00 | DSS-65 | MADRID |
| 2026:105:09:00:00 | 2026:105:10:30:00 | 2026:105:09:35:00 | 2026:105:10:15:00 | DSS-24 | GOLDSTONE |
| 2026:106:01:05:00 | 2026:106:02:55:00 | 2026:106:01:40:00 | 2026:106:04:00:00 | DSS-24 | GOLDSTONE |
| 2026:106:10:30:00 | 2026:106:12:30:00 | 2026:106:11:15:00 | 2026:106:12:25:00 | DSS-26 | GOLDSTONE |
| 2026:106:19:40:00 | 2026:106:21:40:00 | 2026:106:20:25:00 | 2026:106:21:25:00 | DSS-54 | MADRID |
| 2026:107:00:55:00 | 2026:107:02:55:00 | 2026:107:01:40:00 | 2026:107:02:40:00 | DSS-65 | MADRID |
| 2026:107:08:50:00 | 2026:107:10:50:00 | 2026:107:09:35:00 | 2026:107:10:35:00 | DSS-24 | GOLDSTONE |
| 2026:107:23:30:00 | 2026:108:01:15:00 | 2026:108:00:05:00 | 2026:108:01:00:00 | DSS-65 | MADRID |
| 2026:108:02:20:00 | 2026:108:04:20:00 | 2026:108:03:05:00 | 2026:108:04:05:00 | DSS-56 | MADRID |
| 2026:108:20:00:00 | 2026:108:22:00:00 | 2026:108:20:45:00 | 2026:108:21:45:00 | DSS-65 | MADRID |
| 2026:109:00:50:00 | 2026:109:02:50:00 | 2026:109:01:35:00 | 2026:109:02:35:00 | DSS-65 | MADRID |
| 2026:109:10:30:00 | 2026:109:12:30:00 | 2026:109:11:15:00 | 2026:109:12:15:00 | DSS-24 | GOLDSTONE |
| 2026:109:21:05:00 | 2026:109:23:05:00 | 2026:109:21:50:00 | 2026:109:22:50:00 | DSS-56 | MADRID |
| 2026:110:02:15:00 | 2026:110:04:15:00 | 2026:110:03:00:00 | 2026:110:04:00:00 | DSS-65 | MADRID |
| 2026:110:10:20:00 | 2026:110:12:20:00 | 2026:110:11:05:00 | 2026:110:12:05:00 | DSS-26 | GOLDSTONE |
| 2026:110:18:50:00 | 2026:110:20:00:00 | 2026:110:19:25:00 | 2026:110:19:45:00 | DSS-34 | CANBERRA |
| 2026:111:09:05:00 | 2026:111:11:35:00 | 2026:111:09:50:00 | 2026:111:11:20:00 | DSS-26 | GOLDSTONE |
| 2026:112:03:05:00 | 2026:112:05:05:00 | 2026:112:03:50:00 | 2026:112:04:50:00 | DSS-54 | MADRID |
| 2026:112:09:15:00 | 2026:112:11:15:00 | 2026:112:10:00:00 | 2026:112:11:00:00 | DSS-65 | MADRID |
| 2026:112:21:05:00 | 2026:112:23:05:00 | 2026:112:21:50:00 | 2026:112:22:50:00 | DSS-54 | MADRID |
| 2026:113:02:15:00 | 2026:113:04:15:00 | 2026:113:03:00:00 | 2026:113:04:00:00 | DSS-65 | MADRID |
| 2026:113:09:15:00 | 2026:113:11:15:00 | 2026:113:10:00:00 | 2026:113:11:00:00 | DSS-26 | GOLDSTONE |
| 2026:113:16:55:00 | 2026:113:18:55:00 | 2026:113:17:40:00 | 2026:113:18:40:00 | DSS-36 | CANBERRA |
| 2026:114:02:15:00 | 2026:114:04:15:00 | 2026:114:03:00:00 | 2026:114:04:00:00 | DSS-65 | MADRID |
| 2026:114:10:05:00 | 2026:114:12:05:00 | 2026:114:10:50:00 | 2026:114:11:50:00 | DSS-26 | GOLDSTONE |
| 2026:114:19:10:00 | 2026:114:21:10:00 | 2026:114:19:55:00 | 2026:114:20:55:00 | DSS-56 | MADRID |
If you have any questions about this page, please contact swolk@cfa.harvard.edu.
Last Update: Mar 27, 2020