R. Hank Donnelly
CCW '04

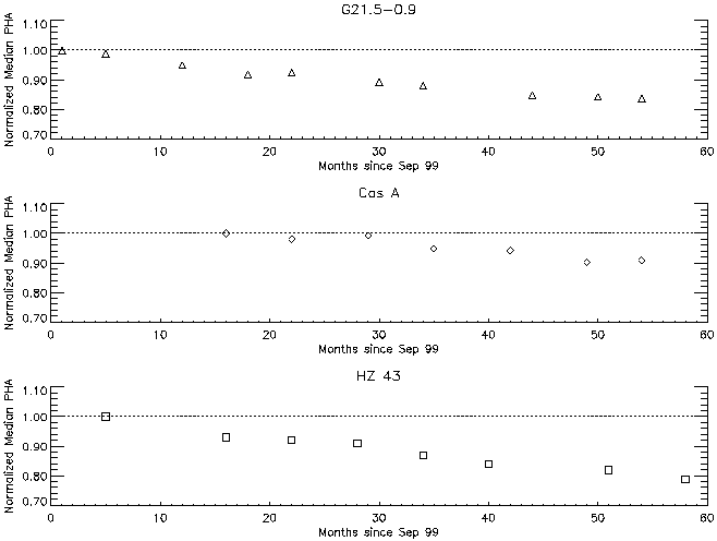
PHA

PHA: Standard Candles-G21.5/CasA/HZ 43